Discover Gotrays: Advanced Solutions for Efficient Business Growth

Empower your enterprise with Gotrays’ innovative technology, delivering scalable and reliable results.

Explore Our Premium Subcategories

Gotrays offers expertly curated product subcategories to simplify your search. Discover tailored solutions that meet precise industry needs efficiently.

Abstract scientific compounds representing product subcategories

Indole Derivatives Overview

Indole derivatives are crucial in pharmaceutical research and development, offering diverse bioactive properties with wide-ranging therapeutic applications.

Ibrutinib molecule structure

Ibrutinib

A potent indole-based kinase inhibitor used in targeted cancer therapies, demonstrating high specificity and efficacy.

Phenyl imidazol derivative

Phenyl Imidazol Derivatives

These derivatives show promising anti-inflammatory and antimicrobial activities, expanding drug discovery frontiers.

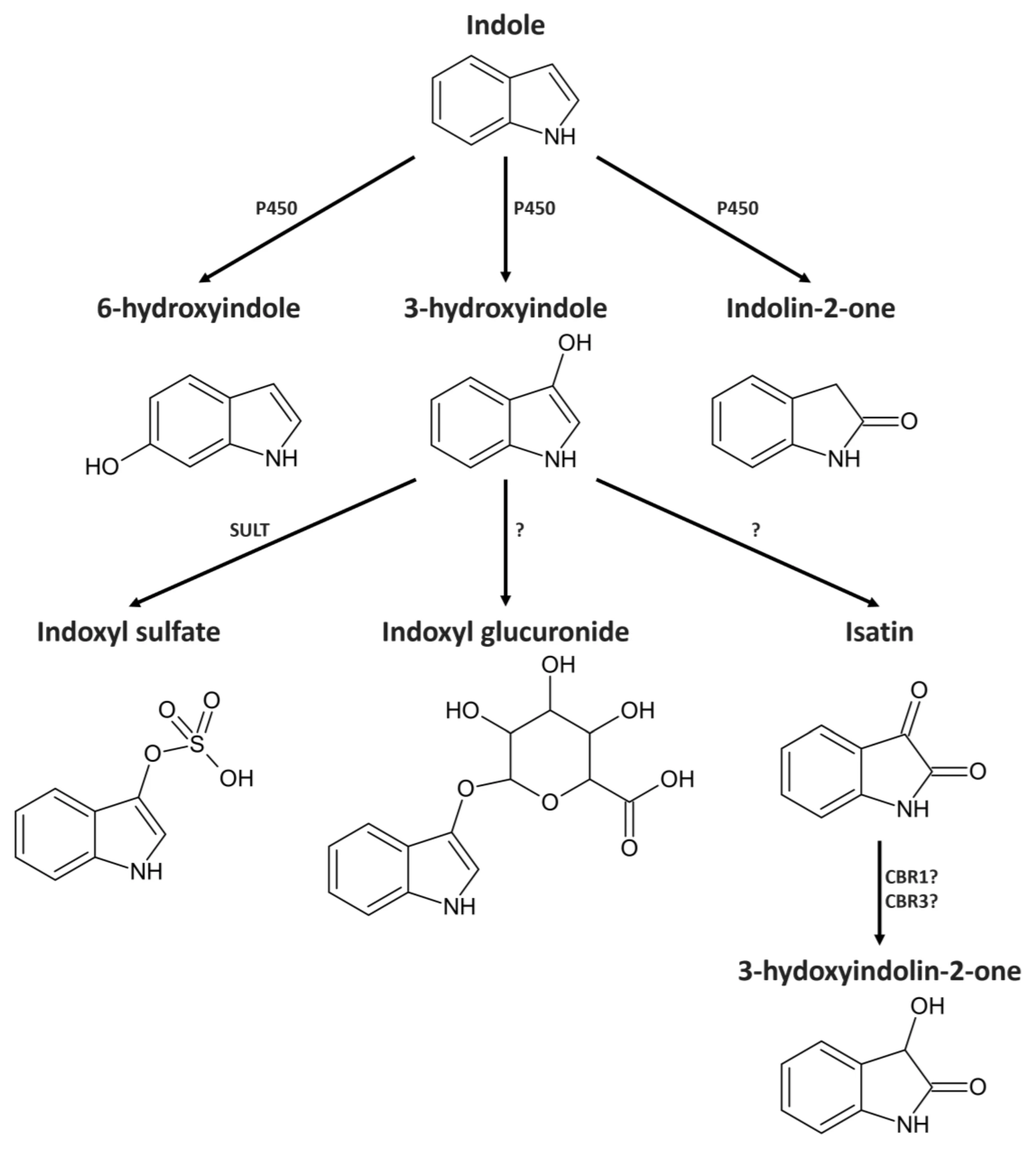
Synthetic pathways of indole derivatives

Synthetic Pathways

Advanced synthetic methods enable efficient production of diverse indole derivatives with enhanced purity and yield.

Phthalimide Intermediates Overview

Gotrays specializes in high-purity Phthalimide intermediates, essential building blocks for pharmaceuticals and agrochemicals.

  • Consistent quality with rigorous purity standards.
  • Scalable synthesis tailored to client specifications.
  • Reliable supply for critical pharmaceutical intermediates.
Phthalimide chemical intermediate structure and crystal

Pyridine Heterocycles Overview

Pyridine heterocycles are vital nitrogen-containing compounds widely used in pharmaceuticals, agrochemicals, and materials. Their unique structure enables diverse chemical modifications, enhancing bioactivity and functionality.

Pyridine Molecular Structure

Structural Characteristics

Pyridines feature a six-membered aromatic ring with one nitrogen atom, providing electron-rich sites critical for chemical reactivity and molecular interactions.

Benzofuran Related Heterocycle

Related Heterocycles

Pyridine derivatives often coexist with other heterocycles like benzofurans, expanding their chemical space and enabling versatile applications across industries.

Imidazole Compound Structure

Pharmaceutical Importance

Pyridine heterocycles serve as core scaffolds in many drugs, enhancing potency, selectivity, and pharmacokinetics crucial for effective therapeutic design.

Pharmaceutical Intermediate Production

Industrial Applications

Industries rely on pyridine-based intermediates for innovative fine chemicals and agrochemical solutions, supporting efficient and sustainable manufacturing.

Pyridine Derivative Reaction Scheme

Synthetic Pathways

Modern synthetic methods enable precise pyridine functionalization, improving yields and enabling scalable production aligned with green chemistry principles.

Aminobenzyl Oxazolidinone Structure

Functional Group Diversity

Pyridine frameworks enable integration of diverse functional groups such as amino, oxazolidinone, and others that expand chemical versatility.

Why Partner with Gotrays for Pharmaceutical Intermediates

Unmatched Quality and Compliance

Gotrays delivers pharmaceutical intermediates meeting stringent industry standards. Our strict quality controls ensure safe, reliable, and compliant products for your formulations.

Innovative and Scalable Manufacturing

We utilize advanced synthesis techniques and scalable production processes to support your growing demands efficiently.

Dedicated Technical Support

Our expert team partners with you from development through delivery, offering customized solutions and on-time assistance.

Global Supply Chain Reliability

Gotrays ensures timely, consistent supply through a robust global distribution network, minimizing disruptions to your operations.

Pharmaceutical intermediate chemicals in laboratory setting

Partner with Gotrays to Elevate Your Pharmaceutical Solutions

Discover fast, reliable, and customized chemical intermediates designed to accelerate your development and production cycles.

Our expert team ensures compliance with highest standards while delivering competitive pricing and scalable options.

Chemical intermediates bottles and lab equipment
Scroll to Top